On  



如果說12代表起始,一段探索的起始,那麼15將意味著傳承。心中有所望,但雙眼始終跟隨眼前,周遭的脈動。深信著,這樣的可能;掌握住,可行的機會。


□ 卻說, 這真的是答案嗎??


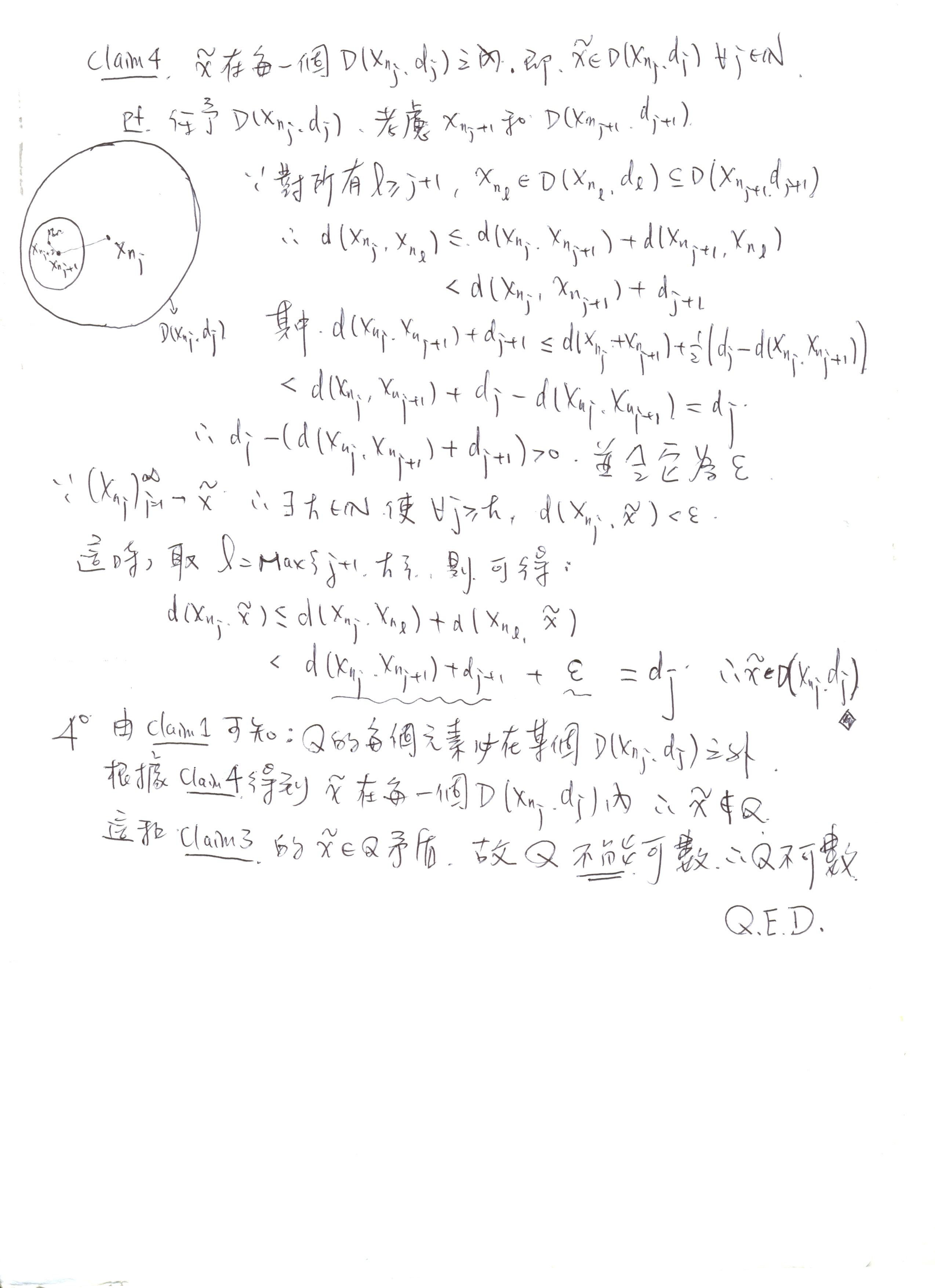
☆ 明顯的事情未必好證, 好證的事也未必明顯. 這篇文章有關於三角不等式(對實數, 與複數) 的相關論證, 以及因式分解和(有限)級數和的求法. [2014/03/24 註:   在歐幾里得的幾何原本(卷1命題20) 有著純幾何的證明. 是個很優雅的論證! ]
三角不等式與其他pdf
三角不等式與其他doc
☆ 直觀是走往真理的引路燈,卻也是脈向破滅的便道。在充滿陷阱的數學世界裡,唯有依循以嚴格推論為名的小徑行走,才得以在漫遊的途中不至於跌落谷底。極限,讓我們首次發現數學的架構、嚴格之美。倘若把數學視為一座高塔,我們是否該關注一下塔底的結構呢? (更新日期: 110928)
自然數_Latex碼
自然數_pdf檔
☆ 曾經發生過的夢魘,也許沒有人期望它再次發生. 在聽天命之前,我也只能以一己之力盡一點人事。(更新日期: 110928)
微積分HWI問題1,2參考答案_pdf檔
微積分HWI問題3,4參考答案_pdf檔
微積分HWI問題5參考答案_pdf檔
微積分HWI問題6參考答案_pdf檔
微積分HWI問題7參考答案_pdf檔
微積分HWII問題1參考答案_pdf檔
微積分HWII問題2參考答案_pdf檔
微積分HWII問題3參考答案_pdf檔
微積分HWII問題4參考答案_pdf檔
微積分HWII問題5參考答案_pdf檔
微積分HWII問題6參考答案_pdf檔
微積分HWII問題6參考答案修正_pdf檔

微積分HWI問題1,2參考答案_Latex碼
微積分HWI問題3,4參考答案_Latex碼
微積分HWI問題6參考答案_Latex碼
微積分HWII問題2參考答案_txt檔
微積分HWII問題4參考答案_Latex碼
微積分HWII問題6參考答案_txt檔
☆ 難度不低,但仍可以試。一旦打開了它,某種自由已經被剝奪,除非你的目的是試探。[高等微積分的習題:關於 Perfect set 那題。(HWI.4, 6(3)) ]
page1
page2
page3
☆ 如果用雞精和雞湯作譬喻,那麼也許課堂的微積分將可和它並列。(更新日期: 110928)
極限定義 (對象:華麗的計財)
極限定義 (對象:偉大的數學)
極限定義 (對象:低調的電機)
☆ 就像走迷宮,恰似破密碼,有如玩拼圖,一切的努力只為了重見天日的剎那。漫漫長夜,不知積累了多少苦楚,我是多麼期望,它能夠漸漸停歇,哪怕歷程有多麼虛無,哪怕內心如何被擠壓,哪怕終究停在多麼多麼無理的位置.....
_pdf
_LaTex碼

中文_pdf
中文_tex
☆ 事出必有因,因此許多數學概念的抽象化必定有它的道理。對一個初次踏入這個殿堂的人,總需要更多的心思面對唐突的轉變。但,是唐突嗎?還是只是真正的那條路尚未被發掘?
向量空間的引進動機
積分概念的引進
☆ 希望這是足夠的.........
微積分的小小總複習(14)
微積分的簡單總複習(14)
線性代數的無言總複習(15)

微積分之欸普喜隴總複習(初版)
微積分之欸普喜隴總複習(二版)





有些瑕疵, 必需要修補; 有些盲點, 必須要整頓.
   時間來來去去, 當過去與現在重合之際,
     有幾分虛無卻又很有意義.


是個結束, 是個開始, 一回又一回, 不曾間斷. 是嘗試, 是修正, 不斷追尋新的可能, 那是希望.


不怕沒人來, 只怕有人想看的時候它還沒完成。
     On Preparation
☆  大轉變,難以避免. 這是每個數學人的足跡, 是共有的歷程.... 為求嚴謹和完美。
集合基礎 (未完成)

那是陣痛期.
很痛, 很茫然, 不知該怎辦.
因為有太多東西在那個時間區間重疊.
如果凝聚不了, 起始點和終點也沒必要區分了....
微積分11.1~11.3
一些證明

微積分2.1~2.3
□ 感到無力的時候, 有可能是看開的那一刻.
   那時候放手去做, 才是自然的.


  數論
  線性代數

  (線性代數) + khvs